Materi Asas Manajemen Lengkap Pdf

Sketsa Adalah Jenis Unsur Fungsi Komposisi Cara Contoh
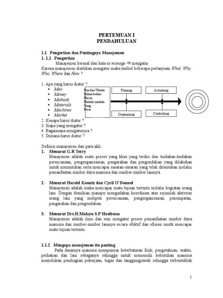
![]()
Susun Atur Pejabat Docx Susun Atur Pejabat Menurut Kamus Dewan Bahasa Dan Pustaka Edisi Kedua Definisi Susun Atur Ialah Cara Atau Kaedah Menyusun Atau Course Hero
1

Selepaspenilaianformatif

Hutang Lancar Macam Pengelompokan Metode Pengukuran

Definisi Metodologi Menurut Para Ahli Pdfcoffee Com

Alur Plot Adalah Pengertian Contoh Unsur Jenis Tahap

Pengertian Mou Ciri Tujuan Jenis Dan Manfaat Menurut Para Ahli
Modul Cara Hurai Isi Dan Kesimpulan Pdf

Susun Atur By Hambali By Asyraf Hambali
Tags:
Archive